This blog makes available plenty of questions for practice, for the Mathematics competitive exams. We also try to bring to students interesting ways of approaching the questions. If you need any assistance in questions from IPM, MTSE, SCHOLARSHIP, OLYMPIAD, CBSE , ICSE or Board test papers, you may write to us.
Showing posts with label algebra. Show all posts
Showing posts with label algebra. Show all posts
Tuesday, April 4, 2017
Tuesday, August 30, 2016
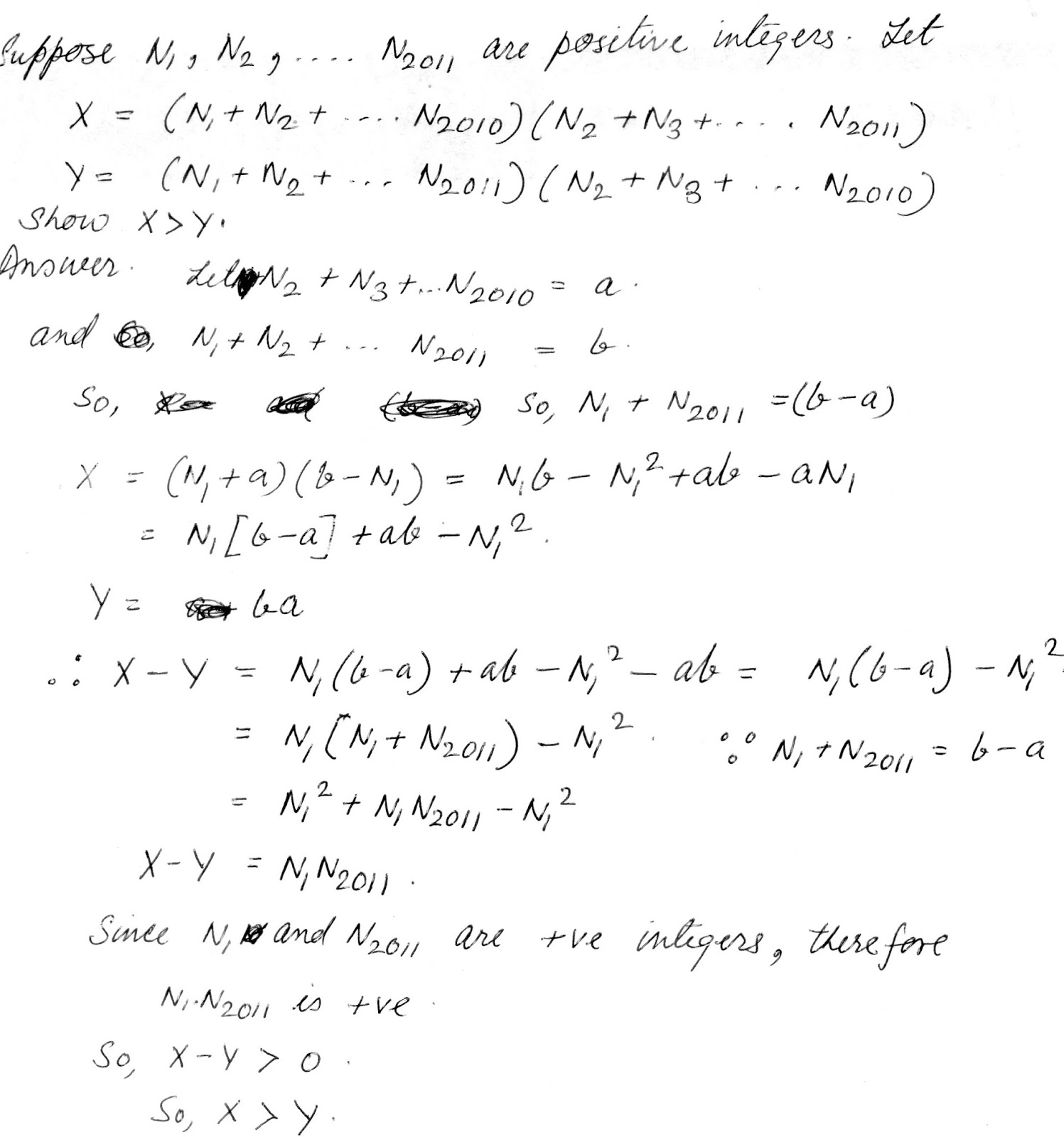
Monday, June 27, 2016
Saturday, June 20, 2015
Singapore maths Olympiad algebra
If a, b, and c are real numbers and positive, and if
a2 + ab + b2 = 25,
b2 +
bc + c2 = 49 and
c2 + ca + a2 = 64
Find the
value of (a + b + c)2 Singapore Maths Olympiad
Monday, April 20, 2015
Sunday, December 21, 2014
Saturday, November 15, 2014
Saturday, August 16, 2014
Saturday, August 2, 2014
JMO -- DIvisibility
Which are the two numbers less than 260 that exactly divides
232 – 1?
JMO – VII and VIII
Sunday, May 4, 2014
Friday, January 31, 2014
Tutorial - how to deal with brackets
6 to 7 years of schooling
http://www.youtube.com/watch?feature=player_embedded&v=eHqdcz4pjwE
http://www.youtube.com/watch?feature=player_embedded&v=eHqdcz4pjwE
tutorial - complete the perfect square
for students with 6-7 years of schooling
http://www.youtube.com/watch?feature=player_embedded&v=5WBXhszflR8
tutorial -multiplying 2 binomials
for students with 6-7 years of schooling
http://www.youtube.com/watch?feature=player_embedded&v=pBFIXFwneoM
http://www.youtube.com/watch?feature=player_embedded&v=pBFIXFwneoM
Tutorials - how to multiply several terms at a time
for students with 6-7 years of schooling
http://www.youtube.com/watch?feature=player_embedded&v=zs6IymmSRrA
http://www.youtube.com/watch?feature=player_embedded&v=zs6IymmSRrA
Subscribe to:
Comments (Atom)














